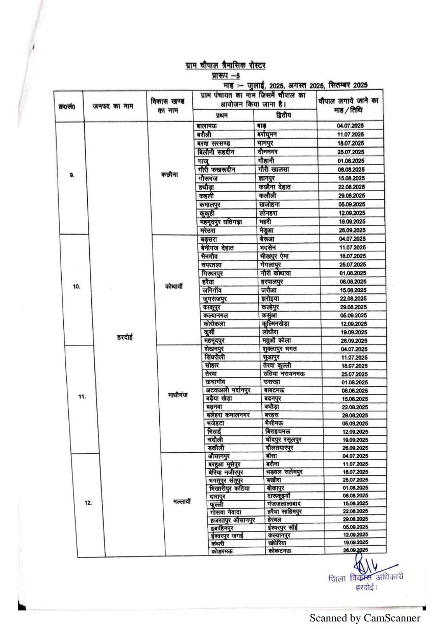
Hardoi : ग्राम चौपाल के लिए अगस्त 2025 व त्रैमासिक रोस्टर जारी, विकास कार्यों की होगी समीक्षा, देखें पूरी लिस्ट
शासनादेश के अनुसार, जिला विकास अधिकारी, परियोजना निदेशक, और उपायुक्त (स्वतः रोजगार/श्रम रोजगार) प्रत्येक शुक्रवार को किसी एक विकास खंड की ग्राम चौपा
हरदोई : उत्तर प्रदेश सरकार के शासनादेश संख्या आर-351/38-1-2022-3551/2022, दिनांक 29 दिसंबर 2022 के तहत हरदोई जिले में ग्राम चौपाल के आयोजन के लिए अगस्त 2025 का मासिक रोस्टर जारी किया गया है।
इस रोस्टर को जिला विकास अधिकारी, परियोजना निदेशक (जिला ग्राम्य विकास अभिकरण), उपायुक्त (स्वतः रोजगार/श्रम रोजगार), और मुख्य विकास अधिकारी ने मिलकर तैयार किया है।
यह कदम ग्रामीण क्षेत्रों में विकास कार्यों की समीक्षा और जन समस्याओं के त्वरित समाधान के लिए उठाया गया है। शासनादेश के अनुसार, जिला विकास अधिकारी, परियोजना निदेशक, और उपायुक्त (स्वतः रोजगार/श्रम रोजगार) प्रत्येक शुक्रवार को किसी एक विकास खंड की ग्राम चौपाल में हिस्सा लेंगे।
मुख्य विकास अधिकारी भी स्वयं एक ग्राम चौपाल में उपस्थित रहकर जन समस्याओं का निस्तारण सुनिश्चित करेंगे।
इस रोस्टर के तहत ग्राम चौपाल में शामिल होने वाले अधिकारियों के दायित्व भी निर्धारित किए गए हैं, जिनमें ग्राम पंचायतों में विकास कार्यों का निरीक्षण, शिकायतों का समाधान, और विभिन्न योजनाओं की प्रगति की जांच शामिल है।
ग्राम चौपाल में अधिकारियों को निम्नलिखित कार्य करने होंगे:
-
विकास कार्यों का निरीक्षण: पिछले दो वित्तीय वर्षों में ग्राम पंचायतों में किए गए कार्यों का स्थलीय निरीक्षण और भौतिक सत्यापन।
-
राशन वितरण और भूमि संरक्षण: राशन वितरण प्रणाली की समीक्षा और शासकीय भूमि को अतिक्रमण से मुक्त कराने की कार्रवाई।
-
योजनाओं की जांच: प्रधानमंत्री आवास योजना (ग्रामीण) के तहत स्वीकृत आवासों की जांच, मनरेगा के सामुदायिक और व्यक्तिगत लाभकारी कार्यों की समीक्षा, और अन्य योजनाओं के तहत चल रहे कार्यों की प्रगति का मूल्यांकन।
-
आयुष्मान कार्ड और आधार प्रमाणीकरण: आयुष्मान कार्ड निर्माण और सोशल सेक्टर के लाभार्थियों के आधार प्रमाणीकरण की स्थिति की समीक्षा।
-
शिकायतों का समाधान: ग्रामवासियों की शिकायतों का त्वरित निस्तारण।
-
जीरो पॉवर्टी और सर्वे: जीरो पॉवर्टी पहल और प्रधानमंत्री आवास योजना (ग्रामीण) सर्वे की समीक्षा।
-
स्वयं सहायता समूह का निरीक्षण: प्रत्येक ग्राम चौपाल में कम से कम एक स्वयं सहायता समूह का निरीक्षण अनिवार्य रूप से करना।
यह पहल ग्रामीण विकास को बढ़ावा देने और जन समस्याओं को सीधे ग्राम स्तर पर हल करने के लिए शुरू की गई है। हरदोई जिले में पहले भी विभिन्न योजनाओं में उल्लेखनीय प्रगति देखी गई है, जैसे कि कृषि ऋण मोचन योजना में पूरे प्रदेश में प्रथम स्थान और कन्या सुमंगला योजना में तीसरा स्थान प्राप्त करना।
इस रोस्टर के जरिए ग्राम चौपाल को और प्रभावी बनाकर ग्रामीण क्षेत्रों में विकास कार्यों को गति दी जाएगी और स्थानीय लोगों की समस्याओं का त्वरित समाधान सुनिश्चित किया जाएगा।
जिलाधिकारी और मुख्य विकास अधिकारी ने सभी संबंधित अधिकारियों को निर्देश दिए हैं कि वे रोस्टर का सख्ती से पालन करें और ग्राम चौपाल के दौरान निर्धारित दायित्वों का पूरी जिम्मेदारी के साथ निर्वहन करें। यह कदम न केवल ग्रामीण विकास को मजबूती देगा, बल्कि प्रशासन और जनता के बीच विश्वास को भी बढ़ाएगा।
What's Your Reaction?











